BMJ Paediatrics Open | 家庭参与式“袋鼠抱”对早产儿眼底筛查中疼痛的影响:随机对照临床试验
- 来源:未知
- 作者:bmjchina
- 日期:2026-01-28
- 分享:
主要发现
BMJ Paediatrics Open近日发表的一项随机对照临床试验指出,父母走入NICU病房与孩子进行肌肤接触的“反向式袋鼠抱”可能在减少眼底筛查时疼痛及应激反应方面带来显著临床获益。
原文献信息:
Effects of Kangaroo care during retinopathy screening examination: a randomised clinical trial.
Huang H, Xue Y, Liang Y et al.
BMJ Paediatrics Open. 2026;10:e003961.
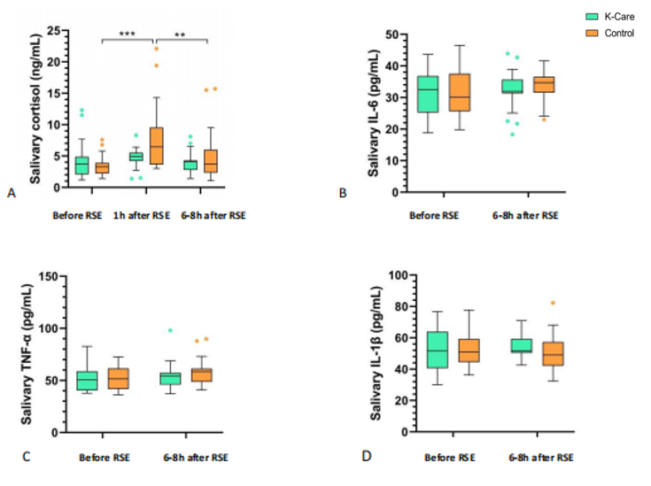
早产儿视网膜病(ROP)是造成早产儿严重视力缺陷及致盲的主要疾病,ROP筛查是预防ROP等致残致盲的重要手段。然而ROP筛查时开睑器及检眼镜等操作引起的疼痛及应激反应可引起早产儿近期生理指标波动(如心率、呼吸、血氧饱和度),反复的疼痛刺激可造成痛觉敏感、行为认知障碍等远期改变。全身性镇痛药物对早产儿有一定的副作用,因此与局部麻醉联用的非药物性干预如蔗糖水、非营养性吸吮、肌肤接触等措施备受关注。然而关于将肌肤接触作为核心要素的“袋鼠抱”对ROP筛查过程中及结束后疼痛、应激及炎症反应的影响,目前还鲜有研究探讨。研究人员基于CONSORT指南于2023年3月至2024年8月在香港大学深圳医院NICU开展了一项开放标签的随机平行对照临床试验。纳入胎龄<34周,第一次ROP筛查的早产儿。试验中,研究对象被随机分为试验组和对照组。实验组ROP筛查时裸露背部平躺在父亲或母亲胸前(反向式袋鼠抱);对照组按常规平躺在检查台完成。主要结局指标为早产儿疼痛评分(PIPP),评估时间点为ROP筛查开始时第一分钟内。唾液皮质醇、炎症因子IL-1β,IL-6,TNF-α为次要结局指标,其中针对皮质醇在ROP筛查前、结束后1小时及6-8小时三个时间点进行追踪,针对炎症因子在ROP筛查前及结束后6-8小时两个时间点进行追踪。PIPP评分及唾液采集均由经过培训的家庭参与式照护(family-integrated care)组护士进行,以确保评估及操作的一致性与准确性。

研究结果
该研究最终纳入100例早产儿,其中试验组、对照组各50例。早产儿平均胎龄31.1周,出生体重均值1496g,两组在人口统计学信息上均无统计学差异。

研究结果表明:反向式袋鼠抱能减轻ROP筛查引起的疼痛(PIPP mean 11.0 vs. 12.9,p=0.002),降低ROP筛查后应激反应(皮质醇水平4.9 vs 6.9 ng/ml, p=0.001),并减少ROP筛查后炎症反应(IL-6 31.9 vs 34.7 pg/ml, p=0.01; TNF-α 53.9 vs 58.6 pg/ml, p=0.02)。

亚组分析将胎龄分为>32周(n=42)与≤32周(n=58)两组,结果表明袋鼠抱对胎龄>32周组能显著减轻ROP筛查时的疼痛感(PIPP mean 10.5 vs. 12.7,p=0.02), 降低ROP筛查后1小时的应激反应(皮质醇水平4.9 vs 7.0 ng/mL, p<0.001)及减少ROP筛查后6-8小时的炎症反应(IL-6 32.1 vs 35.9 pg/ml, p=0.01; TNF-α 53.1 vs 60.6 pg/ml, p=0.009; IL-1β 50.4 vs 56.7, p=0.003);而对于胎龄≤32周组,袋鼠抱能减轻ROP筛查时的疼痛感(PIPP 11.5 vs. 13.0, p=0.047),但对ROP筛查后的应激及炎症反应均无显著影响(p均>0.05)。

胎龄>32周组

胎龄≤32周组
家庭参与式袋鼠抱有望成为ROP筛查时用于减轻疼痛的简单、经济且有效的优选方法。该研究为临床实践中通过家庭参与式照护进行疼痛干预提供了高级别的临床证据。
香港大学深圳医院NICU、澳门科技大学医学院黄海波为论文第一作者。加拿大阿尔伯塔大学儿科张宝贤为通信作者。
关于 BMJ Paediatrics Open
BMJ Paediatrics Open 致力于发表儿童健康领域的原创性研究、文献综述和研究方案等。儿童健康涉及多种学科,期刊欢迎各类儿童健康专业的文章,接收内容涵盖儿童外科手术、儿科专科、公共卫生、医疗服务提供等相关主题的文章。
收稿率:41%
出版频率:连续出版
出版速度:
投稿至初步决定:50天(中位时间;含外审)
接收至发表:25天(中位时间)
2024年影响因子:2.3
官网:bmjpaedsopen.bmj.com
